《Physical Review B》刊登博士研究生鲁爽关于有限空间相干性影响界面声子输运的研究论文

发布时间:2026-04-15 浏览量:57

4月14日,同济大学物理学院声子学中心陈杰教授团队在物理类期刊《Physical Review B》发表了题为“Effect of Spatial Coherence on Phonon Transmission at Interfaces”的研究论文,揭示了有限空间相干性对界面声子透射的重要影响,为研究相干声子输运机理以及人工微结构设计提供了一种高效解析计算方法。


研究背景

理解并预测复杂结构中的声子传播规律,不仅是揭示声子热导率调控机制的重要基础,也是实现声子相关的功能结构的关键问题。随着人工微结构设计不断向更复杂的多界面、多参数和多尺度方向发展,相干声子传播过程中的散射、干涉与调制行为也变得更加复杂,给理论分析和结构优化带来了新的挑战。现有关于界面声子输运的理论分析,通常基于平面波近似,无法考虑真实声子波包具备的有限空间相干性。此外,虽然声子波包模拟考虑了有限的空间展宽,但针对复杂结构中声子传播过程的模拟需要消耗大量的计算资源,对于不同构型、几何参数和传播条件进行系统搜索时,所需的时间和计算资源将显著上升,严重限制了基于人工微结构高效设计和优化声子输运的能力。因此,发展能够直接描述复杂结构中声子有限空间相干性的高效理论方法,具有重要的理论意义和应用价值。


研究亮点

       在单个界面情况下,界面两侧材料沿传播方向可视为半无限介质,体系中不存在能够与波包空间展宽相比较的有限特征长度,此时界面散射过程仅由界面特性决定,有限空间相干性对声子透射行为的影响通常可以忽略。因此,有限宽度波包的空间相干信息难以在透射系数中得到显著体现。对于波包所包含的各波矢分量,其在界面处仅独立经历一次散射,总体透射结果主要表现为对平面波透射响应的谱加权平均。因此,只要波包谱分布集中于中心波矢附近,整体透射系数便与对应的平面波结果基本一致。

然而,在多界面体系中,相邻界面之间的间距以及各层材料的厚度共同构成了体系内在的有限特征尺度。当这些特征尺度与声子波包的空间展宽处于可比范围时,波包中不同波矢分量在结构中的传播行为将不再保持一致,不同 k 分量在层间传播过程中会积累不同的相位,并在各界面处表现出不同的反射与透射响应,导致其最终贡献显著偏离中心波矢所对应的平面波结果。基于此,我们发展了动量空间透射方法(momentum-space transmission method, MSTM)。该方法将入射波包表示为动量空间中具有有限谱宽的波矢 k 分量叠加,并对所有的k分量分别计算其在多界面结构中的传播、相位演化以及反射与透射响应,最后再结合波包的谱权重加以统一表征。由于这一处理显式保留了不同 k 分量响应的差异,MSTM 能够超越单一平面波近似,更准确地刻画有限空间相干性对整体透射行为的影响。

图1:(a)基于石墨烯晶格的双界面结构示意图。(b)界面层长度固定为 L = 200R0时,通过波包(WP)模拟、TMM 和 MSTM 方法得到的透射系数α随界面层原子质量m的变化关系。(c) 在界面层原子质量固定为m= 50 amu 时,透射系数α随长度L的变化关系。WP 模拟、TMM 和 MSTM 计算中所采用的入射波矢均为 k1=0.177 (1/ Å);其中,WP 模拟和 MSTM 计算中所采用的波包宽度为 173 Å。


基于上述方法,我们首先在双界面的石墨烯晶格中进行了验证,其结构如图1(a)所示。该结构中间层的原子质量和长度均可调节,从而用于系统考察不同界面失配程度及特征尺度对声子透射行为的影响。针对这一结构,我们首先在固定中间层长度的条件下改变中间层质量,结果如图1(b)所示。可以发现,随着中间层质量的增加,体系的透射行为发生明显变化,且 MSTM 始终能够较好地吻合波包模拟(WP)的透射率α

此外,我们还进一步验证了 MSTM 在不同波包线型情况下的普适性。除常用的高斯型波包外,我们还引入了另外两种 Lorentzian 型波包和 Voigt 型波包进行测试。在固定中间层长度的条件下改变中间层质量,相关结果如图2(a)和图2(b)所示。可以看到,MSTM 对不同线形的有限谱宽波包均能够给出准确描述,并与波包模拟结果保持良好一致。这表明,该方法并不依赖于特定的波包形式,而具有较好的普适性和通用的适用范围。

在石墨烯同位素晶格模型的基础上,我们进一步检验了 MSTM 在真实材料和多界面体系中的通用性。具体而言,我们分别在三维Si/Ge/Si 体系以及二维graphene/h-BN/graphene/h-BN三界面体系中进行了验证。结果表明,MSTM 在不同维度、不同材料组合以及更复杂的多界面结构中仍能够准确描述有限空间相干性对声子透射行为的影响,体现出良好的通用性。

图2:(a) 原子质量m变化条件下,Lorentzian 型声子波包穿过L = 5R0双界面体系时的透射系数。(b) 原子质量m变化条件下,Voigt 型声子波包穿过L = 5R0双界面石墨烯体系时的透射系数。声子入射波包宽度和波矢分别为 173 Å k1 =0.177 (1/ Å)。(c) 对于三维 Si/Ge/Si 异质结构,在改变界面层长度L的条件下,由波包模拟和 MSTM 方法得到的透射系数。模拟中采用的入射波包宽度为 173 Å,波矢为k1 = 0.0575 (1/ Å)。(d) 对于二维 graphene/h-BN/graphene/h-BN 异质结构,在改变第三层长度的条件下,由波包模拟和 MSTM 方法得到的透射系数。模拟中采用的入射波包宽度为 173 Å,波矢为 k1=0.177(1/ Å)。其中,R0RSi分别表示石墨烯和硅的晶格常数。


最后,我们进一步展示了 MSTM 在重构动力学过程方面具有独特优势。传统解析方法由于忽略了声子相位信息,通常只能获得透射率等最终信息,难以获得声子波包在多界面结构中的真实传播与演化行为的过程信息。相比之下,MSTM 不仅能够在动量空间中准确描述有限谱宽波包的透射过程,还能够结合反向傅里叶变换精确重构其在实空间和时域的动力学演化过程。基于这一独特优势,我们可以直接获得声子波包在传播、反射与透射过程中的瞬态波形分布,从而直观表征多次界面散射作用下波包展宽、包络调制、振幅重分布以及波形畸变等关键物理特征。为此,我们基于图1中双界面石墨烯系统,校验了MSTM在反演动力学过程方面的有效性。

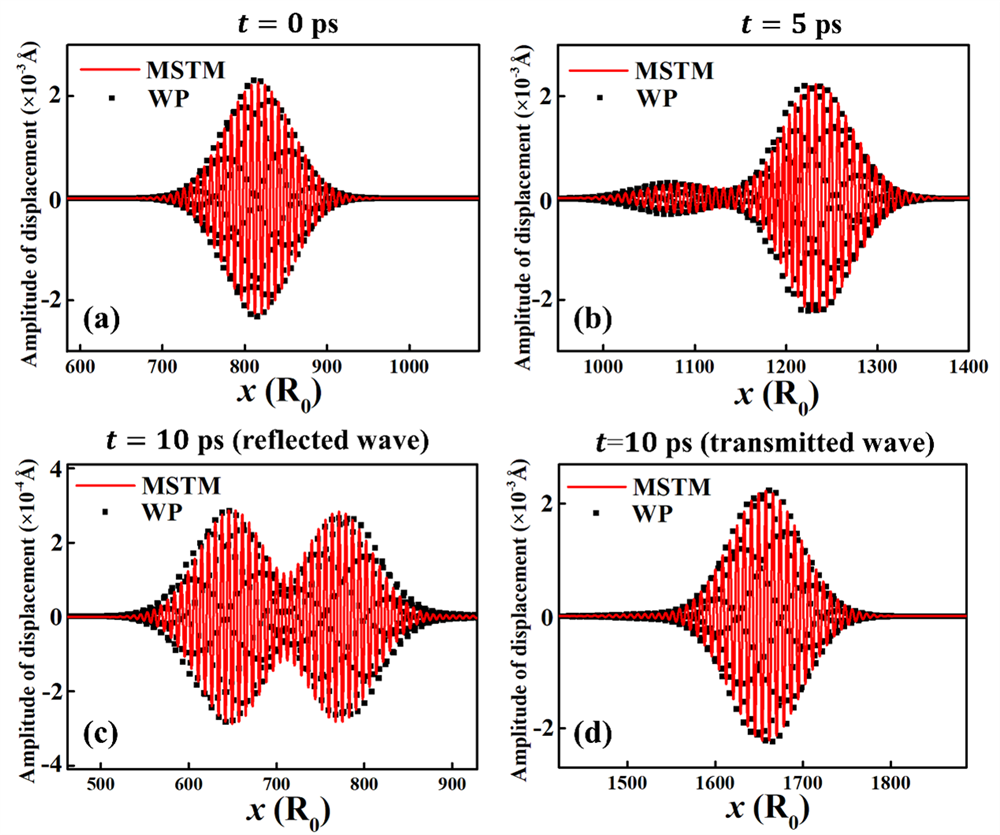
图3:双界面石墨烯体系中声子波包随时间的动力学演化过程。其中,实线表示由 MSTM 经反向傅里叶变换得到的结果,方块表示时域波包模拟结果。(a) t = 0 ps,(b) t = 5 ps,(c) t = 10 ps 时的反射波,以及 (d) t = 10 ps 时的透射波。体系参数设定为L = 50 R0 m = 20 amu,声子入射波包宽度和波矢分别为 173 Å 和 k1­=0.177 (1/ Å)


在图3(a)和(b)中,我们分别展示了声子波包在通过界面前(t = 0 ps)和正在通过界面时(t = 5 ps)的动力学演化图像。可以看到,MSTM 重构得到的瞬态波形分布与分子动力学波包模拟结果保持良好一致,能够准确重构界面附近的传播与散射过程。进一步地,图3(c)和(d)分别给出了波包通过界面后(t = 10 ps)的反射波和透射波形态。结果表明,MSTM 不仅能够准确预测最终的整体透射行为,还能够较好地重构界面散射后反射波与透射波的空间分布、振幅特征及波形演化过程等瞬态信息,说明该方法在描述动力学过程层面同样具有较高精度。这表明MSTM 已超越传统理论仅能给出透射率的局限,能够为进一步理解多界面体系中声子波包传播、反射与透射的完整动力学过程提供更丰富的瞬态物理信息。更重要的是,在保证计算精度的前提下,基于 MSTM重构动力学演化过程计算效率要远优于基于原子尺度的波包动力学模拟。以图3中的结果为例,基于 MSTM 的解析计算仅需 0.5秒,而相应的波包动力学模拟计算时间超过1小时,计算速度提升高达7200倍。因此,MSTM 不仅具有良好的预测精度,同时也兼具显著的计算效率优势,为研究复杂多界面体系中相干声子传播的动力学行为与结构优化设计提供了高效工具。


总结与展望

本文围绕多界面体系中有限空间相干声子波包的传播问题,发展了一种面向多界面结构的解析计算方法,即动量空间透射方法 MSTM。该方法突破了传统平面波传输矩阵方法仅基于单一波矢平面波近似的限制,将入射声子波包表示为动量空间中具有有限谱宽的波矢分量叠加,并对各分量在多界面结构中的传播、相位积累以及反射与透射响应进行统一处理,从而能够显式刻画有限空间相干性对整体透射行为的影响。通过与具有有限展宽的波包模拟校验后发现,该方法在不同维度、不同材料组合、不同波包线型和更复杂多界面条件下仍能准确描述有限空间相干性对声子透射的影响,表现出普适的通用性,而基于平面波假设的传统理论在多界面体系中显著偏离波包模拟结果。

此外,本文还展示了 MSTM 在重构动力学过程方面的独特优势。不同于传统方法通常只能给出透射率等最终信息,MSTM 还能够结合反向傅里叶变换重构声子波包在多界面结构中的实空间及时域演化过程等瞬态信息,从而揭示经过多次界面散射作用下波包展宽、包络调制、振幅重分布和波形畸变等关键动力学特征。与波包动力学模拟相比,MSTM获得同类结果所需时间可由小时量级降低至秒量级,计算效率提升高达三个数量级。这种高效性使得MSTM方法为复杂多界面体系中相干声子传播行为的快速分析与结构优化提供了有力支撑。

因此,本文所发展的 MSTM 方法能够在解析框架下统一处理有限谱宽声子波包在多界面结构中的传播问题,不仅实现了对透射行为的准确预测,还进一步实现了对动力学演化过程的有效重构。该方法为理解多界面体系中有限空间相干传播的物理机制提供了新的理论工具,也为基于相干声子调控的人工微结构设计奠定了方法基础。

同济大学物理学院博士研究生鲁爽为论文第一作者,同济大学物理学院陈杰教授为论文通讯作者,同济大学物理学院李勇教授和德国奥格斯堡大学Peter Hänggi教授对论文具有突出贡献。该工作得到了国家自然科学基金、上海市科委、上海市曙光计划、中央高校基本科研业务专项资金等项目支持。


论文链接:https://journals.aps.org/prb/abstract/10.1103/f2f5-kh75